| 有機化学研究室 Laboratory of Organic Chemistry |
|
自然界の動植物から見いだされる有機化合物、いわゆる天然物の中には有用な生理活性を示すものがあり、古くから医薬品などとして利用されてきました。最近では、海洋産の動植物から興味深い活性を示す化合物が数多く見つかっており、生理活性天然物の宝庫として注目を集めています。これら天然物の中には微量しか得られないものも多く、詳細な研究を行うためには化学合成による試料供給が必要となります。当研究室では、生理活性天然物の効率よい合成ルート開発を目指して研究を進めています。天然物そのものの合成ルートが確立できれば、構造を修飾した誘導体の合成も可能となり、その生理活性を調べることで構造活性相関を知ることができます。また、その情報を基に分子設計を行うことで、医薬資源や生命現象解明への応用も期待できます。 当研究室では,新規な有機合成反応の開発と天然物合成への応用を中心課題として、以下のような研究テーマに取り組んでいます。 ポリ環状エーテル 赤潮の原因毒ブレベトキシンBに代表されるポリ環状エーテル類は、イオンチャンネルに作用して強力な神経毒性を発現することが知られていますが、天然物が入手困難であるために詳細な活性発現機構は明らかになっていません。また、その特徴的な構造は合成化学的にも魅力的なターゲットとしても注目されています。これらポリ環状エーテルの巨大かつ複雑な分子構造を合成するため、我々は分子内アリル化反応と閉環メタセシス反応を組み合わせたポリ環状エーテル骨格の収束的かつ立体選択的な合成法を開発しています。 |
|||||||||||||||||||||||
![]() |
||||||||||||||||||||||||
| この合成法を活用し、ブレベトキシンBやガンビエロール、ブレベナールの全合成を達成し、さらにシガトキシンCTX3Cなど様々なポリ環状エーテル化合物の合成研究を進めています。これらの化合物は分子量が大きい上に、多くの不斉炭素を有しているため、その合成には多段階が必要となりますが、先に述べた収束的合成法を活用することで効率よい合成が可能となります。 | ||||||||||||||||||||||||
![]() |
||||||||||||||||||||||||
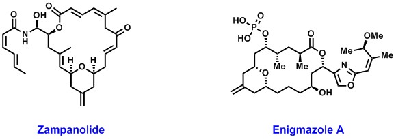
| THPマクロライド 海洋産の天然物には抗腫瘍活性を示すものも多く、新たな抗がん剤のリード化合物として注目されています。我々は、分子間−分子内連続アリル化反応を用いた収束的エーテル環合成法を用いることによって、ザンパノライドやエニグマゾールなどのテトラヒドロピラン(THP)環を有する抗腫瘍性マクロライド類の合成研究を進めています。 |
||||||||||||||||||||||||
![]() |
||||||||||||||||||||||||
| サルコフィトノライド 軟質サンゴ類は、食害や寄生から身を守るための防御物質として様々な生理活性物質を有しています。サルコフィトノライド類はその一つであり、ブテノライドを含むマクロライド構造が特徴的です。この化合物群は多くの構造異性体が知られており、その生理活性も多様です。当研究室では、サルコフィトノライド類に共通するブテノライド構造の合成法として、マクロラクトン化と渡環型閉環メタセシスを用いる手法を開発しています。 |
||||||||||||||||||||||||
![]() |
||||||||||||||||||||||||
| この手法を用いることによって、サルコフィトノライドCおよびH、イソサルコフィトノライドDの立体選択的全合成を達成しています。これらの全合成によって、これまで不明であった部分の立体構造解明や、既に提唱されていた立体構造を改訂し真の構造を明らかにすることにも成功しています。さらに他の類縁体や、より活性の強い構造改変体の合成についても研究を進めています | ||||||||||||||||||||||||
![]() |
||||||||||||||||||||||||
| シンビオジノライド 海洋無脊椎動物であるヒラムシにはある種の渦鞭毛藻が共生しており、その渦鞭毛藻からポリオールマクロライドであるシンビオジノライドが単離されました。この化合物は、カルシウムチャンネルの開口活性とともに、抗HIV活性を示すことから医薬品としての活用が期待されています。しかし、この化合物も天然からは入手困難であり、生理活性については十分な研究が行われていないのが現状です。また、この化合物の分子量は2860に達する巨大なものであり、その構造があまりに複雑であることから絶対配置および一部の相対配置も未解明のままになっています。 |
||||||||||||||||||||||||
![]() |
||||||||||||||||||||||||
| 当研究室では、天然品に対する分解反応によって得られた化合物に関し、考えられる立体異性体をすべて合成するとともに、それらのスペクトルデータを天然物の対応する部分と詳細に比較検討することでシンビオジノライドの構造解析を進めています。これまでの研究によって合成、構造決定された化合物を以下に示します。 | ||||||||||||||||||||||||
|
||||||||||||||||||||||||
| この他にも、下記に示したような生理活性天然物の全合成研究に取り組むとともに、新しい有機合成反応の開発についても研究を進めています。 | ||||||||||||||||||||||||
![]() |
||||||||||||||||||||||||
| 可視光による光反応を利用したシクロブタン類の効率的合成 |
||||||||||||||||||||||||
| シクロブタン類はリグナンやピペラボレニンBなど天然物や医薬品に見られる重要な化合物として注目されています。この四員環骨格を合成する代表的な反応として光[2+2]環化付加反応が知られています。しかし、従来法では主に強度の強い紫外光が用いられており、人体への影響や望まない副反応の進行などの問題点がありました。 | ||||||||||||||||||||||||
|
||||||||||||||||||||||||
| 当研究室では可視光を光源として利用することのできる有機光触媒を独自に開発しています。この触媒を活用することで、可視光を光源として利用した光[2+2]環化付加反応によるシクロブタンの合成をはじめとした様々な新規合成反応の開発に取り組んでいます。 | ||||||||||||||||||||||||
|
||||||||||||||||||||||||
|
||||||||||||||||||||||||