研究内容
概述:利用有机金属络合物催化剂的新型有机合成反应的开发及功能材料的开发
过渡金属的使用使得制造具有传统方法无法实现的反应性和选择性的有机金属反应物和有机金属催化剂成为可能。
此外,通过改变金属上的配体(有机化合物),可以精确控制反应物或催化剂的反应性。
功能有机化学实验室旨在通过巧妙地利用由此类金属和有机化合物组成的有机金属配合物的特性,开发一种新的碳-碳键形成反应,它是有机合成反应的基础。
此外,以实现“绿色化学”为目标,这是化学家在 21 世纪应努力的主要主题之一,我们正在开展研究,以构建以环境和谐为导向的反应体系。
研究主题
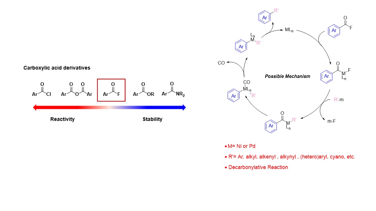
1. 关于镍或钯等过渡金属催化的酰氟脱羰基转化反应的进展
酰氟是一种可以很容易地由相应的羧酸制备的化合物,但是迄今为止关于酰氟的反应性能的研究还十分稀少。 我们以开发使用镍或钯催化剂的酰氟脱羰基转化反应为目标进行了研究,并成功开发了通过酰氟来构建碳-碳和碳-杂原子键的一系列相关反应。 一般情况下,根据之前的论文报道,认为这些反应是通过氧化加成、金属转移和还原消除进行的,但为了阐明关键的脱羰反应进行的阶段,也需要对于反应当中出现的中间体的分离和计算化学进行灵活地运用。
-
Yasuhiro Okuda, Jie Xu, Takumi Ishida, Chen-an Wang, and Yasushi Nishihara
Nickel-Catalyzed Decarbonylative Alkylation of Aroyl Fluorides Assisted by Lewis-Acidic Organoboranes
ACS Omega 3, 13129-13140 (2018).
- Zhenhua Wang, Xiu Wang, and Yasushi Nishihara
Nickel-catalysed decarbonylative borylation of aroyl fluorides
Chem. Commun. 13969-13972 (2018).
- Xiu Wang, Zhenhua Wang, Yuya Asanuma, and Yasushi Nishihara
Synthesis of 2-Substituted Propenes by Bidentate Phosphine-Assisted Methylenation of Acyl Fluorides and Acyl Chlorides with AlMe3
Org. Lett. 21, 3640-3643 (2019).
- Xiu Wang, Zhenhua Wang, Li Liu, Yuya Asanuma, and Yasushi Nishihara
Nickel-Catalyzed Decarbonylative Stannylation of Acyl Fluorides under Ligand-Free Conditions
Molecules 24, 1671 (2019).
- Zhenhua Wang, Xiu Wang, and Yasushi Nishihara
PPh3‐Assisted Esterification of Acyl Fluorides with Ethers via C(sp3)-O Bond Cleavage Accelerated by TBAT
Catalysts 9, 574 (2019).
- Zhenhua Wang, Xiu Wang, Yasuyuki Ura, and Yasushi Nishihara
Nickel-Catalyzed Decarbonylative Cyanation of Acyl Chlorides
Org. Lett. 21, 6779-6784 (2019).
- Xiu Wang, Zhenhua Wang, and Yasushi Nishihara
Nickel/copper-cocatalyzed decarbonylative silylation of acyl fluorides
Chem. Commun. 55, 10507-10510 (2019).
- Zhenhua Wang, Xiu Wang, and Yasushi Nishihara
Nickel or Palladium-Catalyzed Decarbonylative Transformations of Carboxylic Acid Derivatives
Chem. Asian J. 15, 1234-1247 (2020).
- Liyan Fu, Qiang Chen, Zhenhua Wang, and Yasushi Nishihara
Palladium-Catalyzed Decarbonylative Alkylation of Acyl Fluorides
Org. Lett. 22, 2350-2353 (2020).
- Xiu Wang, Zhenhua Wang, Takumi Ishida, and Yasushi Nishihara
Methoxylation of Acyl Fluorides with Tris(2,4,6-trimethoxyphenyl)phosphine via C-OMe Bond Cleavage under Metal-Free Conditions
J. Org. Chem. 85, 7526-7533 (2020).
- Qiang Chen, Liyan Fu, and Yasushi Nishihara
Palladium/copper-cocatalyzed decarbonylative alkynylation of acyl fluorides with alkynylsilanes: Synthesis of unsymmetrical diarylethynes
Chem. Commun. 56, 7977-7980 (2020).
- Liyan Fu, Qiang Chen, and Yasushi Nishihara
Decarboxylative Cross-Coupling of Acyl Fluorides with Potassium Perfluorobenzoates
Org. Lett. 22, 6388-6393 (2020).
- Liyan Fu, Jingwen You, and Yasushi Nishihara
Palladium-catalyzed decarbonylative and decarboxylative cross-coupling of acyl chlorides with potassium perfluorobenzoates affording unsymmetrical biaryls
Chem. Commun. 57, 3696-3699 (2021).
- Liyan Fu, Qiang Chen, and Yasushi Nishihara
Recent Advances in Transition-metal-catalyzed C-C Bond Formation via C(sp2)-F Bond Cleavage
Chem. Rec. 21, 3394- 3410 (2021).
- Jingwen You, Qiang Chen, and Yasushi Nishihara
Nickel-Catalyzed Decarbonylative Thioetherification of Acyl Fluorides via C-F Bond Activation
Synthesis 53, 3045-3050 (2021).
- Qiang Chen, Liyan Fu, Jingwen You, and Yasushi Nishihara
Ni-Catalyzed Decarbonylative Alkynylation of Acyl Fluorides with Terminal Alkynes under Copper-Free Conditions
Synlett 32, 1560-1564 (2021).
- Qiang Chen, Zhenyao Li, and Yasushi Nishihara
Palladium/Copper-Cocatalyzed Arylsilylation of Internal Alkynes with Acyl Fluorides and Silylboranes: Synthesis of Tetrasubstituted Alkenylsilanes by Three-Component
Org. Lett. 24, 385-389 (2022).
2. 多取代烯烃的高位立体选择性合成
多取代烯烃的选择性合成已成为有机合成化学中一个非常重要的问题。本实验室通过与炔基金属反应物形成区域选择性氧化锆环戊烯,合成多种金属取代的烯烃,并与它们进行逐步交叉偶联反应,成功合成高位立体选择性取代烯烃。
-
Y. Nishihara, M. Miyasaka, M. Okamoto, H. Takahashi, E. Inoue, K. Tanemura, and K. Takagi
Zirconocene-Mediated Highly Regio- and Stereoselective Synthesis of Multisubstituted Olefins Starting from 1-Alkynylboronates
J. Am. Chem. Soc. 129, 12634-12635 (2007).
- Y. Nishihara, D. Saito, K. Tanemura, S. Noyori, and K. Takagi
Regio- and Stereoselective Synthesis of Multi-Substituted Vinylsilanes via Zirconacycles
Org. Lett. 11, 3546-3549 (2009).
- Y. Nishihara, Y. Okada, J. Jiao, M. Suetsugu, M.-T. Lan, M. Kinoshita, M. Iwasaki, and K. Takagi
Highly Regio- and Stereoselective Synthesis of Multi-alkylated Olefins through Carbozirconation of Alkynylboronates and Sequential Negishi and Suzuki-Miyaura Coupling Reactions
Angew. Chem. Int. Ed. 50, 8660-8664. (2011).
- J. Jiao, Y. Nishihara
Alkynylboron Compounds in Organic Synthesis.
J. Organomet Chem. 721-722, 3-16 (2012).
- Jiao Jiao, Kiyohiko Nakajima, and Yasushi Nishihara
Synthesis of Multisubstituted Olefins through Regio- and Stereoselective Silylborylation of an Alkynylboronate/ Chemoselective Cross-Coupling Sequences
Org. Lett. 15, 3294-3297 (2013)
- Jiao Jiao, Keita Hyodo, Hao Hu, Kiyohiko Nakajima, and Yasushi Nishihara
Selective Synthesis of Multisubstituted Olefins Utilizing gem- and vic-Diborylated Vinylsilanes Prepared by Silylborylation of an Alkynylboronate and Diborylation of Alkynylsilanes
J. Org. Chem. 79, 285-295 (2014).
- Keita Hyodo, Masato Suetsugu, and Yasushi Nishihara
Diborylation of Alkynyl MIDA Boronates and Sequential Chemoselective Suzuki-Miyaura Couplings: A Formal Carboborylation of Alkynes
Org. Lett. 16, 440-443 (2014).
3. 精密合成用于功能材料的Picene衍生物
picene是由五个苯环组成的缩合π共轭有机分子,是一组化合物,由于其高功能性,有望用作有机场效应晶体管和有机薄膜太阳能电池的元件。然而,蒎烯的化学合成并不容易,合成蒎烯衍生物的通用方法尚未建立。我们正在进行研究,目的是使用过渡金属催化剂有效合成蒎烯。目前,我们正致力于开发一种利用钯催化的分子内环化反应构建picene骨架的方法。
-
Ning-hui Chang, Xi-chao Chen, Hikaru Nonobe, Yasuhiro Okuda, Hiroki Mori, Kiyohiko Nakajima, and Yasushi Nishihara
Synthesis of Substituted Picenes through Pd-Catalyzed Cross-Coupling Reaction/Annulation Sequence and Their Physicochemical Properties
Org. Lett. 15, 3558-3561 (2013).
- Ning-hui Chang, Hiroki Mori, Xi-chao Chen, Yasuhiro Okuda, Takeru Okamoto, and Yasushi Nishihara
Synthesis of Substituted [6]Phenacenes through Suzuki-Miyaura Coupling of Polyhalobenzene with Alkenylboronates and Sequential Intramolecular Cyclization via C-H Bond Activation
Chem. Lett. 42, 1257-1259 (2013).
- Yasushi Nishihara, Megumi Kinoshita, Keita Hyodo, Yasuhiro Okuda, Ritsuko Eguchi, Hidenori Goto, Shino Hamao, Yasuhiro Takabayashi, and Yoshihiro Kubozono
Phenanthro[1,2-b:8,7-b']dithiophene: A New Picene-type Molecule for Transistor Applications
RSC Advances 3, 19341-19347 (2013).
- Hiroki Mori, Xi-chao Chen, Ning-hui Chang, Shino Hamao, Yoshihiro Kubozono, Kiyohiko Nakajima, and Yasushi Nishihara
Synthesis of Methoxy-Substituted Picenes: Substitution Position Effect on Their Electronic and Single-Crystal Structures
J. Org. Chem. 79, 4973-4983 (2014).
- Xi-Chao Chen, Shuhei Nishinaga, Yasuhiro Okuda, Jia-Ji Zhao, Jie Xu, Hiroki Mori, and Yasushi Nishihara
A divergent synthesis of 3,10-dialkylpicenes
Org. Chem. Front. 3, 536-541 (2015).
4. 含硫稠合多环芳族化合物的开发及在有机场效应晶体管中的应用
含有噻吩的稠合多环芳族化合物由于存在具有大原子半径的硫原子,因此相邻分子之间具有大的π轨道重叠。因此,它具有极强的分子内相互作用,并表现出极高的载流子迁移率,是可实现高性能有机场效应晶体管的有用化合物基团。通过充分利用精密有机合成,我们不仅成功开发了一种新型的苯并苯型含硫稠合多环芳烃,其合成方法目前还没有实现,而且是一种高效的合成方法。克级的大规模合成,这对于实际应用极为重要。此外,通过将开发的材料应用于实际的有机场效应晶体管,我们实现了与非晶硅相当的场效应迁移率,最高可达 2 cm2 V? 1 s? 1。
-
Yasushi Nishihara, Megumi Kinoshita, Keita Hyodo, Yasuhiro Okuda, Ritsuko Eguchi, Hidenori Goto, Shino Hamao, Yasuhiro Takabayashi, and Yoshihiro Kubozono
Phenanthro[1,2-b:8,7-b']dithiophene: A New Picene-type Molecule for Transistor Applications
RSC Adv. 3, 19341-19347 (2013).
-
Keita Hyodo, Hikaru Nonobe, Shuhei Nishinaga, and Yasushi Nishihara
Synthesis of 2,9-dialkylated phenanthro[1,2-b:8,7-b']dithiophenes via cross-coupling reactions and sequential Lewis acid-catalyzed regioselective cycloaromatization of epoxide
Tetrahedron Lett. 55, 4002-4005 (2014).
-
Yoshihiro Kubozono, Keita Hyodo, Hiroki Mori, Shino Hamao, Hidenori Goto, and Yasushi Nishihara
Transistor application of new picene-type molecules, 2,9-dialkylated phenanthro[1,2-b:8,7-b']dithiophenes
J. Mater. Chem. C 3, 2413-2421 (2015).
-
Yoshihiro Kubozono, Keita Hyodo, Shino Hamao, Yuma Shimo, Hiroki Mori, and Yasushi Nishihara
Transistor Properties of 2,7-Dialkyl-Substituted Phenanthro[2,1-b:7,8-b']dithiophene
Sci. Rep. 6, 38535/1-9 (2016).
-
Keita Hyodo, Hideki Hagiwara, Ryota Toyama, Hiroki Mori, Shin-ichi Soga, and Yasushi Nishihara
Bis[1]benzothieno[2,3-d:2',3'-d']anthra[1,2-b:5,6-b']dithiophene: Synthesis, Characterization, and Application to Organic Field-Effect Transistors
RSC Adv. 7, 6089-6092 (2017).
-
Keita Hyodo, Hideki Hagiwara, Ryota Toyama, Hiroki Mori, Shin-ichi Soga, and Yasushi Nishihara
Synthesis and Physicochemical Properties of Piceno[4,3-b:9,10-b']dithiophene Derivatives and Their Application in Organic Field-Effect Transistors
ACS Omega 2, 308-315 (2017).
-
Shuhei Nishinaga, Hiroki Mori, and Yasushi Nishihara
Synthesis and Transistor Application of Bis[1]benzothieno[6,7-d:6',7'-d']benzo[1,2-b:4,5-b']dithiophenes
J. Org. Chem. 83, 5506-5515 (2018).
-
Shuhei Nishinaga, Hiroki Mori, and Yasushi Nishihara
Synthesis and Transistor Characteristics of Dinaphtho[2,3-d:2',3'-d']anthra[1,2-b:5,6-b']dithiophene (DNADT)
Chem. Lett. 47, 1409-1411 (2018).
-
Keita Hyodo, Shuhei Nishinaga, Yuta Sawanaka, Takumi Ishida, Hiroki Mori, and Yasushi Nishihara
Synthesis and Physicochemical Properties of Dibenzo[2,3-d:2',3'-d']anthra[1,2-b:5,6-b']dithiophene (DBADT) and Its Derivatives: Effect of Substituents on Their Molecular Orientation and Transistor Properties
J. Org. Chem. 84, 698-709 (2019).
-
Shuhei Nishinaga, Masato Mitani, Hiroki Mori, Toshihiro Okamoto, Jun Takeya, and Yasushi Nishihara
Bis[1]benzothieno[5,4-d:5',4'-d']benzo[1,2-b:4,5-b']dithiophene Derivatives: Synthesis and Effect of Sulfur Positions on Their Transistor Properties
Bull. Chem. Soc. Jpn. 92, 1107-1116 (2019).
-
Takumi Ishida, Yuta Sawanaka, Ryota Toyama, Zhenfei Ji, Hiroki Mori, and Yasushi Nishihara
Synthesis of Dinaphtho[2,3-d:2',3'-d']anthra[1,2-b:5,6-b']dithiophene (DNADT) Derivatives: Effect of Alkyl Chains on Transistor Properties
Int. J. Mol. Sci. 21, 2447/1-16 (2020).
-
Zhenfei Ji, Zeliang Cheng, Hiroki Mori, and Yasushi Nishihara
Synthesis and Physicochemical Properties of 2,7-Disubstituted Phenanthro[2,1-b:7,8-b']dithiophenes
Molecules 25, 3842/1-12 (2020).
5. 非苯系高性能半导体聚合物的开发和高性能有机薄膜太阳能电池的开发
含有噻吩的稠合多环芳香族化合物作为半导体聚合物的构成成分是非常有用的骨架,特别是HOMO能级较深的含硫并苯类分子是非常有用的成分,可以期待。然而,由于合成困难,以苯并苯型分子为主链的高分子半导体仍然受到限制。我们首次成功开发出将上述开发的含硫苯并苯型分子引入聚合物主链的聚合物。目前,我们已经在使用合成聚合物的太阳能电池器件中实现了超过 5% 的高光电转换效率。
-
Hiroki Mori, Masato Suetsugu, Shuhei Nishinaga, Ning-hui Chang, Hikaru Nonobe, Yasuhiro Okuda, and Yasushi Nishihara
Synthesis, Characterization, and Solar Cell and Transistor Applications of Phenanthro[1,2-b:8,7-b']dithiophene-Diketopyrrolopyrrole Semiconducting Polymers
J. Polym. Sci., Part A: Pol. Chem. 53, 709-718 (2015).
-
Shuhei Nishinaga, Hiroki Mori, and Yasushi Nishihara
Phenanthrodithiophene-Isoindigo Copolymers: Effect of Side Chains on Their Molecular Order and Solar Cell Performance
Macromolecules 48, 2875-2885 (2015).
-
Shuhei Nishinaga, Hiroki Mori, and Yasushi Nishihara
Impact of Alkyl Side Chains on Thin-Film Transistor Performances in Phenanthrodithiophene-Isoindigo Copolymers
Chem. Lett. 44, 998-1000 (2015).
-
Hiroki Mori, Hikaru Nonobe, and Yasushi Nishihara
Highly Crystalline, Low Band-gap Semiconducting Polymers Based on Phenanthrodithiophene-Benzothiadiazole for Solar Cells and Transistors
Polym. Chem. 7, 1549-1558 (2016) (cover picture).
-
Hiroki Mori, Shuto Hara, Shuhei Nishinaga, and Yasushi Nishihara
Solar Cell Performance of Phenanthrodithiophene-Isoindigo Copolymers Depends on Their Thin-Film Structure and Molecular Weight
Macromolecules 50, 4639-4648 (2017).
-
Hiroki Mori, Ryosuke Takahashi, Keita Hyodo, Shuhei Nishinaga, Yuta Sawanaka, and Yasushi Nishihara
Phenanthrodithiophene (PDT)-Difluorobenzothiadiazole (DFBT) Copolymers: Effect on Molecular Orientation and Solar Cell Performance of Alkyl Substitution onto a PDT Core
Macromolecules 51, 1357-1369 (2018).
-
Hiroki Mori, Shuto Hara, Ryota Toyama, Yuya Asanuma, Ryosuke Takahashi, Shuhei Nishinaga, and Yasushi Nishihara
Effect of Substitution Positions of Alkyl Side Chains in Phenanthrodithiophene-Isoindigo Copolymers: The Enhancement of Crystallinity and Control of Molecular Orders
J. Polym. Sci., Part A: Pol. Chem. 56, 1757-1767 (2018).
-
Hiroki Mori, Ryosuke Takahashi, and Yasushi Nishihara
Development of a Phenanthrodithiophene-Difluorobenzoxadiazole Copolymer Exhibiting High Open-Circuit Voltage in Organic Solar Cells
J. Polym. Sci., Part A: Pol. Chem. 56, 2646-2655 (2018).
-
Hiroki Mori and Yasushi Nishihara
Low-Bandgap Semiconducting Polymers Based on Sulfur-Containing Phenacene-Type Molecules for Transistor and Solar Cell Applications
Polymer J. 50, 615-625 (2018).
-
Hiroki Mori
Development of semiconducting polymers based on a novel heteropolycyclic aromatic framework
Polymer J. 53, 975-987 (2021) (cover picture).
6. 以缺电子复合多环芳族化合物为主要骨架的半导体聚合物的开发
含有噻二唑和吡嗪的复杂多环芳族化合物因其高电子可接受性而被认为是开发p型和n型半导体聚合物的有用骨架。我们已成功开发出含有噻二唑和吡嗪环的新型缺电子复合多环芳族化合物以及以它们为主要骨架的半导体聚合物。已经阐明,合成的聚合物在有机场效应晶体管和有机薄膜太阳能电池中表现出良好的特性,并显示出作为开发高性能半导体聚合物的新组分的巨大潜力。
-
Hiroki Mori, Masato Suetsugu, Shuhei Nishinaga, Ning-hui Chang, Hikaru Nonobe, Yasuhiro Okuda, and Yasushi Nishihara
Alkoxy-Substituted Anthra[1,2-c:5,6-c']bis([1,2,5]thiadiazole) (ATz): a New Electron-Acceptor Unit in the Semiconducting Polymers for Organic Electronics
Macromolecules 51, 5473-5484 (2018).
-
Yuya Asanuma, Hiroki Mori, Ryosuke Takahashi, and Yasushi Nishihara
Vinylene-Bridged Difluorobenzo[c][1,2,5]thiadiazole (FBTzE): A New Electron-Deficient Building Block for High-Performance Semiconducting Polymers in Organic Electronics
J. Mater. Chem. C 7, 905-916 (2019).
-
Yuya Asanuma, Hiroki Mori, and Yasushi Nishihara
Transistor Properties of Semiconducting Polymers Based on Vinylene-bridged Difluorobenzo[c][1,2,5]thiadiazole (FBTzE)
Chem. Lett. 48, 1029-1031 (2019).
-
Hiroki Mori
Development of semiconducting polymers based on a novel heteropolycyclic aromatic framework
Polymer J. 53, 975-987 (2021) (cover picture).
过去的研究这里